欢迎访问SMT设备行业平台!
行业资讯  >  行业动态  >  3D集成大芯片超细间距互连助焊剂
3D集成大芯片超细间距互连助焊剂
2025年09月04日 09:14   浏览:587   来源:小萍子

3D集成大芯片超细间距互连助焊剂



1

概述


近5-10年,倒装芯片借硅通孔技术的2.5D/3D配置实现互连密度高速增长,但也带来尺寸、间距缩减问题,传统C4方法难以应对。行业遂用铜柱结构减少回流坍缩、避免焊料桥连,同时转向热压键合(TCB)技术;虽TCB吞吐量不及炉回流,却因适配100μm以下细间距、能弥补铜柱坍缩不足及补偿基板翘曲,获广泛认可。


转向铜柱结构与TCB新工艺难度大,需关注焊点形成各环节,其中连接表面预处理(去除凸点 / 焊盘表面氧化物以保障稳定互连)是关键;虽有甲酸、氢气气氛等预处理技术,但助焊剂因无需芯片额外预处理、无需特殊危险化学品装置,仍是主流选择。


尽管如此,更细间距带来的挑战促使人们用助焊剂浸蘸方法替代芯片位点助焊剂喷涂技术,这种方法仅在需要的地方放置材料,降低了助焊剂桥连和清洁后残留的风险。在此过程中,芯片以凸点或柱体朝下的方式下降,浸入预定深度的助焊剂中,最佳深度约为柱体或凸点高度的一半 。这种选择性助焊剂涂覆方法能否成功,关键在于能否精确控制并重复控制所拾取的助焊剂量。助焊剂过多可能导致桥连,而用量不足则可能导致连接不良或完全开路。



图片


图1展示了常用的助焊剂浸蘸技术


2

助焊剂使用工艺说明

(a)旋转浸板法:通过刮刀控制助焊剂膜的厚度,进而控制浸蘸深度,这种方法在原型开发中较为实用,因其能灵活调整浸蘸深度,但助焊剂持续暴露在空气中,挥发性成分易蒸发,可能导致性能波动。


(b)带容器的线性浸液槽板法:助焊剂主要储存在密封容器中,减少了挥发,更适合挥发性助焊剂的大规模生产,但需要仔细监控容器与浸液槽之间的助焊剂转移效果。


目前有两种公认的助焊剂浸蘸技术。旋转板法(图1a)使用刮刀控制助焊剂膜厚度,进而控制浸蘸深度。尽管这种方法因其调整浸蘸深度的灵活性而在原型制作中非常有用,但助焊剂持续暴露在空气中,由于挥发性成分不断蒸发,可能导致助焊剂性能发生显著变化。另一方面,线性浸液槽法(图1b)将大部分助焊剂材料保存在密封容器中,使得这种方法更适合挥发性助焊剂的大规模生产,不过需要仔细监控从容器到浸液槽的助焊剂转移效率。


当然,助焊剂材料及其浸蘸工艺还必须与芯片接合后的下游组装工艺步骤相兼容。更细的间距使助焊剂残留物的清洁技术变得更加困难,以至于人们提出了许多低残留、免清洗助焊剂。同样,对于非常大的芯片尺寸,毛细管底部填充工艺仍然是首选,但在细间距配置的更小间隙中,它越来越容易受到助焊剂残留物的影响,导致流动前沿不一致、由此产生的空洞以及潜在的分层区域。


因此提出了一种表征和理解细间距浸蘸用助焊剂行为及反应的方法。该方法在助焊剂浸蘸选择过程中得到验证,并与包含热压键合和毛细管底部填充的量产级倒装芯片组装环境中的实际行为进行了比较。

图片

2

助焊剂浸蘸理论

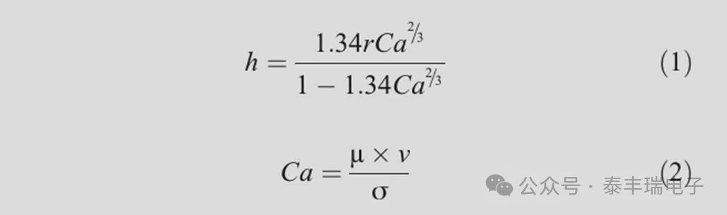
助焊剂材料的化学性质通常较为复杂,其成分通常包括用于脱氧的有机酸、用于降低表面张力和促进润湿的醇类成分(例如异丙酸或羧酸),以及用于控制其流动性能和芯片粘性的其他试剂。因此,要预测和理解助焊剂在工艺中的行为,既需要进行化学分析,也需要进行流变学表征。对于浸蘸工艺,流变学特性可通过粘性流体涂覆原理来建模,这一过程最适合用针对涂覆流体厚度接近待涂覆固体直径的情况(如超细间距柱体浸蘸)进行了修正。式(1)定义了这一关系:


图片


其中,h是被提取流体的厚度,r是待浸蘸球形或圆柱形物体的半径,Ca是毛细管数,后者在式(2)中被定义为粘度μ、表面张力σ和提拉速度ν的函数。可通过韦伯数进一步完善,以考虑惯性效应。


图片


其中,ρ为流体密度。最后,式(5)在h的基础上增加了低速提取时粘性流体的额外“拖拽”厚度δ,其中L为浸蘸深度


图片


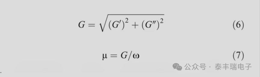
从这些方程可以明显看出,粘度是表征待浸蘸流体的一个重要参数。事实上,通过理解和分析使用板式流变仪计算粘度的方法,即通过评估流体的储能模量G′、损耗模量G″和角频率ω,能够全面了解流体的粘弹性行为。粘度与这些变量之间的关系如式(6)和式(7)所示:


图片


通过比较G′和G″曲线可以得出许多特征。例如,当G′>G″时,表明流体具有类固体行为;而当G′<G″时,则意味着流体更具类液体活性。此外,G′=G″之前的平台值可用于评估流体的内聚性能。

3

实验方法

A

实验室表征

本评估选取了三种不同的商用助焊剂候选材料。其中两种为水溶性助焊剂,其标称粘度差异显著,第三种为免清洗助焊剂。这三种候选材料通过分析实验室测试进行了全面表征。与本文讨论相关的测试包括粘度、表面张力和傅里叶变换红外光谱(FTIR)。这些测试分别在配备努伊环的扭矩式板式流变仪和尼高力傅里叶变换红外光谱仪上进行。所有测试均至少进行三次重复。

B

物理表征与维度分

由于上述定律对流体的速度状态和蒸发非常敏感,因此采用了遵循白金汉定理的维度分析方法。式(8)展示了在考虑所提取材料的质量m、提取速度v、粘度μ以及浸蘸物体直径d以确定无量纲常数 Lo时所得到的关系:


图片


该分析通过搭建球体浸蘸测试装置开展,其灵感来源于所采用的物理观察方法,且该装置能够改变提拉速度和浸蘸深度。该装置可适配不同直径的球体,既包括单个球体形式,也包括芯片/基板形式。测试在英斯特朗仪器(IX系列,43K2型号)上进行,仪器速度固定。球体通过真空吸附在浸蘸头上,然后浸入已知深度的浸蘸板中 ——浸蘸深度经计算设为球体直径的一半,球体与浸蘸板底部接触后停留时间为1秒。通过这种方式对球体进行浸蘸实验。在浸蘸前后分别测量球体质量,随后计算出Lo值。

C

组装评估

组装所用部件包括预先组装在层压板上的硅中介层,以及一块8×11×0.780mm的顶部芯片,以完成3D组装。互连接点为涂覆有SAC焊料的铜柱,其最小间距为62μm,设置在镍/金焊盘上。芯片接合通过热压键合(TCB)实现。助焊剂浸蘸在同一设备上进行,提拉速度在0.5至8.3mm/s之间变化。键合曲线包括5秒升温至键合温度(400°C),保温20秒,压力为0.5N,所有工艺均在加热台(150°C)上进行。后续清洁(如需要)在自动喷涂设备中使用去离子水进行。底部填充采用毛细管方式,使用底部填充材料。


助焊剂在组件中的性能通过破坏性芯片拉力测试和横截面分析进行评估。芯片拉力测试的操作是:用胶水将拉力柱固定在顶部芯片上,然后使用英斯特朗仪器(8800系列,8874型号)将顶部芯片与中介层垂直分离,从而实现拉力数据的采集和外观检查。在选定优选助焊剂候选材料及其最佳工艺参数后,使用该优选助焊剂和一种先前经过认证的对照助焊剂,对若干部件进行完整的商用组装流程处理。最终组件需经受深度热循环(DTC)和高加速应力测试(HAST),并进行相应的电气和声学显微镜评估。这两项测试均包含JEDEC3级预处理步骤,以模拟部件运输和卡连接过程,具体包括热冲击、烘烤、潮湿环境处理和再次烘烤。各项测试的具体条件在结果部分的表6中进行描述。

4

结果与讨论

A

分析实验室表征

在进行任何浸蘸或组装实验之前,对助焊剂的实验室表征为其预期行为提供了有用的见解。傅里叶变换红外光谱(FTIR)分析显示,尽管所有三种助焊剂都存在-OH基团,但它们的相对峰值位置和振幅使我们能够解读其相对挥发性以及由此产生的老化敏感性。如表1所示,Flux2含有高浓度的醇类,更确切地说是异丙醇,这使其更容易发生此类助焊剂老化现象。


另一方面,Flux1和Flux3具有相同的-OH基团,但峰值强度较低,表明其浓度较低。因此,与纯醇相比,Flux1和Flux3的挥发性更低,预计在长时间暴露于空气中时会更稳定。这一信息表明,对于Flux2,应使用线性浸液槽法,以最大限度地减少蒸发并保持其性能的一致性。除了表1中显示的绝对粘度值外,对流变仪数据的解读还揭示了其他预测性特征。Flux2在不同应力下粘度保持恒定,这表明其具有牛顿流体特性(图2b),而Flux1和Flux3则不具备这一特性。对储能模量(G′)和损耗模量(G″)曲线的进一步分析显示,Flux2仅表现出液体的粘弹性行为,这意味着其具备实现稳定润湿的有利条件。Flux1最初表现出类固体行为,但在0.002Pa的应力下转变为液体行为,并且其G″/G′比值相对较高,达到0.82(图2a)。这一高比值表明该助焊剂的内部结构弹性不佳,无法长时间保持其形态而不发生流动。


图片


表1分析实验室表征结果


图片


(aG' and G’ graph for Flux1


图片


(b) G' and G’ graph for Flux2


图片


(c)G'and G"graph for Flux3


图2.助焊剂1、2和3在热应变下的储能模量(G′和损耗模量(G″)曲线图


这种高比值表明该助焊剂内部结构弹性较差,无法长时间保持形态而不发生流动。表面张力测量结果(表1)似乎与该分析一致,其中助焊剂2更优的流动倾向使其相较于助焊剂1能实现更出色的润湿和涂覆效果。另一方面,这些结果表明助焊剂1存在潜在的爬升风险,因此建议缩短浸蘸停留时间。助焊剂3虽然最初也表现出类固体行为,但其G″/G′比值较低,为0.39,这表明其内部弹性更佳,流动倾向更小(图2c)。在热压键合(TCB)过程中,助焊剂还会受到浸蘸头的加热影响 ——浸蘸头被预热至150°C以缩短工艺时间。对加热和未加热的浸蘸头都进行了测试,观察到它们对工艺的影响极小。


图片


表2利用 LLD 修正定律对不同球体直径下助焊剂2质量的建模

B

浸蘸的物理表征

如上述实验室表征所示,助焊剂2是一种牛顿流体,因此可使用修正后的定律(包括拖拽效应)和维度分析技术进行建模。尽管助焊剂2粘度较高且有蒸发倾向,且提拉速度接近毛细管作用的极限,但修正后的LLD定律仍能较好地近似所提取助焊剂质量的实测值,如表3所示


图片


表3利用维度分析对不同提拉速度下铜微柱上助焊剂2质量的建模


图片


图3. 助焊剂1 的质量与提拉速度的关系


C

组装评估


实验室分析和物理分析的结果为三种候选助焊剂的组装实验提供了浸蘸变量的一级近似值。通过芯片拉力破坏性分析来评估润湿和清洁效果,一系列矩阵逐步缩减了候选助焊剂的数量,并微调了浸蘸参数,特别是浸蘸深度、助焊剂停留时间和提拉速度。例如,图4显示了三种助焊剂的未润湿铜柱数量与提拉速度的关系。由此我们可以得出结论,通过调整提拉速度可以最大限度地增加润湿的互连接点。尽管如此,需要认识到提拉速度只是实现高成品率完美部件的一个重要参数。例如,热压键合(TCB)工艺参数也可能起到非常重要的作用,但在本研究中,这些参数仅优化到能够获得令人满意的键合效果并能对所研究的助焊剂进行相对比较的程度。这些矩阵的整体结果促成了助焊剂2的选择以及相应的一套优化浸蘸参数,这些参数展示出无缺陷的润湿效果,这表明事实上某些助焊剂配方更适合浸蘸工艺。


从清洁度角度来看,助焊剂1和助焊剂2最初都会留下一定程度的不良残留物,后续的扫描电子显微镜(SEM)分析显示,助焊剂1的残留物为金属(锡)性质,而助焊剂2的残留物为有机金属(有机锡)性质。针对这些残留物对清洁工艺进行了修改,调整对助焊剂2的效果最为显著(图5),声学显微镜观察到的清洁、无空洞部件证实了这一点(图6)。另一方面,发现助焊剂3会留下大量残留物(图7),考虑到其免清洗助焊剂的定位,这多少有些令人惊讶。据推测

并证实残留物的多少与热压键合(TCB)固有的短温度曲线密切相关。上述矩阵的整体研究结果建议选择助焊剂2进行完整性/可靠性评估构建。


图片


图4.未润湿铜柱数量(总计11,343个)与提拉速度的关系图


注:该图呈现了三种助焊剂在不同提拉速度下未润湿铜柱的数量变化,可用于分析提拉速度对助焊剂润湿效果的影响,进而为优化提拉速度以最大化润湿互连接点提供依据


图片


图5. 清洁工艺调整对助焊剂2 残留物程度的影响(测试的最小间距为62μm


注:该图展示了针对助焊剂2进行清洁工艺调整后,其残留物的变化情况,直观体现了调整对减少残留物的显著效果。


图片


图6.声学显微镜观察到的助焊剂2的无空洞组装体(8×11mm的顶部芯片)


图片


图7.在紫外光下观察到的横截面中助焊剂3在直径约 20μm 铜柱上的残留物


图片

图8. 在直径 20μm 的铜柱上观察到的、助焊剂2在11mm长芯片上的焊料爬升变化


分析表明,尽管标称浸蘸深度略超过铜微柱高度的一半,但芯片与浸液槽平面度的工艺偏差可能会导致浸蘸深度出现一定程度的变化,进而改变互连接的结构。这一点在图8中得到体现,图中芯片长度方向上不同程度的焊料爬升和金属间化合物形成表明浸蘸深度存在差异。


可靠性应力测试结果汇总于表6,其中包括与先前经过认证的助焊剂的对比。测试未发现电气故障,这证实了选择助焊剂2 作为合适的浸蘸助焊剂候选材料的合理性,同时表明在正常生产环境中,上述浸蘸深度变化程度及其对互连接结构的影响是可以接受的。此次测试涉及78个部件,分为先前经过认证的助焊剂和助焊剂2两组,结果提供了令人鼓舞的可靠性正面反馈,但仍建议对更多组件进行助焊剂2的进一步认证。


在JEDEC3级预处理后,少数部件出现了轻微的视觉异常。不过,随后的横截面分析(图9)将这些异常与来料缺陷相关联,分析显示没有明显的助焊剂残留物,且关注区域内的铜柱未出现任何完整性可疑的迹象。


图片


表6可靠性评估总结


图片


图9.基于C模式扫描声学显微镜观察结果(右侧)的DTC缺陷横截面检查(左侧)

图片
图片

4

结论

针对热压芯片键合环境下细间距助焊剂浸蘸的助焊剂选择、表征、筛选和评估,研究制定了一套系统方法。该方法对三种受关注的商用助焊剂进行了验证,揭示了基础实验室分析、物理表征与工艺之间的明确关系。


红外光谱(FTIR)分析显示,测试的三种助焊剂中均含有酒精,但浓度和类型不同,这为在生产规模制造过程中防止助焊剂老化提供了重要建议。流变学分析也被证明对预测助焊剂行为具有重要价值,可用于评估牛顿型特性、流动倾向、液-固转变行为和润湿趋势。


实验室分析辅以宏观球体浸蘸方案,该方案能够对牛顿型助焊剂2进行浸蘸建模。浸涂的修正定律和维度分析方法均能较好地近似细间距铜柱微观层面的预期浸蘸结果,这表明该宏观浸蘸方案可作为一种快速且准确的助焊剂性能初步评估方法,而无需消耗宝贵的硬件。


随后的助焊剂组装测试显示,其行为与上述表征相关,并利用润湿和清洁效果最终推荐了一种特定的助焊剂候选物用于可靠性测试。所选候选物通过完整的组件制造以及后续的DTC和HAST应力测试证明了其可行性。


热压键合(TCB)工艺也应进行仔细调整。最后,由于免清洗助焊剂是工业制造中的首选,建议开展更多免清洗助焊剂的研究,无论是本研究中使用的助焊剂的改进版本,还是全新的助焊剂。


5

推荐的半导体助焊剂及应用


异构集成和组装材料示意图

图片




半导体助焊剂

图片


头条号
小萍子
介绍
推荐头条