欢迎访问SMT设备行业平台!
行业资讯  >  行业动态  >  晶圆电镀要知道的两个定律
晶圆电镀要知道的两个定律
2025年07月24日 10:07   浏览:285   来源:小萍子
本文介绍了做好晶圆电镀必懂得法拉第电解第一第二定律。


要做好晶圆电镀,必须要介绍两个基本定律,即法拉电解第一定律与法拉第电解第二定律。

法拉第电解定律是由迈克尔·法拉第在19世纪前半期通过大量实验得出的经验规律,并于1834年发表。法拉第电解定律适用于一切电极反应的氧化还原过程,是电化学反应中的基本定量定律。

图片

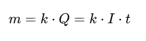
法拉第电解第一定律

电解过程中,电极上析出的物质的质量,与通过电解液的电量成正比。

数学表达式:

图片

:析出或溶解的物质质量(g);k:电化当量(g/C);Q:电量(库仑,C);I:电流(A);t:通电时间(s)。


通俗地说:

镀层越厚,需要通过的电量越大;若电流稳定,电镀时间越长,镀层越厚;可用于控制电镀厚度、沉积速率等。


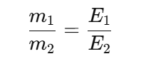
法拉第电解第二定律

在相同电量作用下,不同物质的析出质量,与其化学当量成正比。

数学表达式:

图片


:不同物质的质量;E:对应的化学当量(即 摩尔质量 / 电荷数)。


综上两个定律,可以得到:

图片

n= 生成物质的摩尔数 [mol];Q= 总电量 [C];z= 生成物的电子转移数量;F= 法拉第常数 96 485[C mol−1]。

法拉第电解定律有什么用?

1. 计算电极上析出或溶解的物质质量;

2. 预测电镀厚度;

3. 设计电镀时间与电流大小;

4. 计算电镀效率。


END


转载内容仅代表作者观点


头条号
小萍子
介绍
推荐头条